Skip to content Skip to sidebar Skip to footer

Tahun Hijrah Ke Masihi / Cara Menukar Kalendar Masihi Ke Tarikh Hijrah Shafiqolbu

Important islamic dates in 2022. Tetapi bagi tahun tersebut jika disemak di internet kemungkinan di negara asia barat tarikhnya . 2076 | 1499 2075 | 1498 2074 | 1497 2073 | 1496 2072 | 1495 2071 | 1494 2070 | 1493 2069 | 1492 . Cara tukar tarikh masihi ke hijrah. Perbezaan jarak antara tahun hijrah dengan tahun masihi ialah 622 tahun, tetapi jarak perbezaan ini semakin berkurangan sedikit demi sedikit . Don't forget to try our other tools listed below:

Tetapi bagi tahun tersebut jika disemak di internet kemungkinan di negara asia barat tarikhnya . Kalendar Islam 2020 Masihi 1441 1442 Hijrah Malaysia
Kalendar Islam 2020 Masihi 1441 1442 Hijrah Malaysia from 1.bp.blogspot.com
Cara tukar tarikh masihi ke hijrah. Ce 2000 | 1400 hijri. Tetapi bagi tahun tersebut jika disemak di internet kemungkinan di negara asia barat tarikhnya . Peristiwa ini, yang dikenali sebagai hijrah, diperingati dalam . Islamic hijri calendar for 1400 years. Nama hijri merujuk kepada hijrah rasulullah saw dari mekah ke madinah. 2076 | 1499 2075 | 1498 2074 | 1497 2073 | 1496 2072 | 1495 2071 | 1494 2070 | 1493 2069 | 1492 . >. Don't forget to try our other tools listed below: Terdapat 12 bulan dalam kalendar islam bermula dari bulan muharram ke bulan. Jumlah bulan hijrah sama sepertimana tahun masihi namun waktu permulaannya adalah .

Don't forget to try our other tools listed below:

Cara tukar tarikh masihi ke hijrah. Pada tahun itu, muhammad dan pengikutnya berpindah dari mekah ke yathrib (sekarang madinah). Tukar tarikh masihi kepada hijrah. Tetapi bagi tahun tersebut jika disemak di internet kemungkinan di negara asia barat tarikhnya . Berikut kami sediakan widget pengubah (converter) untuk menukar sebarang . Terdapat 12 bulan dalam kalendar islam bermula dari bulan muharram ke bulan. Perbezaan jarak antara tahun hijrah dengan tahun masihi ialah 622 tahun, tetapi jarak perbezaan ini semakin berkurangan sedikit demi sedikit . Jumlah bulan hijrah sama sepertimana tahun masihi namun waktu permulaannya adalah . >. Pada tahun itu, muhammad dan pengikutnya berpindah dari mekah ke . Nama hijri merujuk kepada hijrah rasulullah saw dari mekah ke madinah. Lahir kalendar islam jakim (cara tukar tarikh masihi ke hijrah. Don't forget to try our other tools listed below: Hijri to gregorian date converter converts hijri dates into gregorian dates via hijri date converter & same for gregorian to hijri by islamicfinder.org. Islamic hijri calendar for 1400 years. 2076 | 1499 2075 | 1498 2074 | 1497 2073 | 1496 2072 | 1495 2071 | 1494 2070 | 1493 2069 | 1492 .

>. Perbezaan jarak antara tahun hijrah dengan tahun masihi ialah 622 tahun, tetapi jarak perbezaan ini semakin berkurangan sedikit demi sedikit . Important islamic dates in 2022. 2076 | 1499 2075 | 1498 2074 | 1497 2073 | 1496 2072 | 1495 2071 | 1494 2070 | 1493 2069 | 1492 . Lahir kalendar islam jakim (cara tukar tarikh masihi ke hijrah. Pada tahun itu, muhammad dan pengikutnya berpindah dari mekah ke . Hijri to gregorian date converter converts hijri dates into gregorian dates via hijri date converter & same for gregorian to hijri by islamicfinder.org.

Lahir kalendar islam jakim (cara tukar tarikh masihi ke hijrah. Cara Tukar Tarikh Masihi Ke Hijrah
Cara Tukar Tarikh Masihi Ke Hijrah from 3.bp.blogspot.com
Lahir kalendar islam jakim (cara tukar tarikh masihi ke hijrah. Peristiwa ini, yang dikenali sebagai hijrah, diperingati dalam . 2076 | 1499 2075 | 1498 2074 | 1497 2073 | 1496 2072 | 1495 2071 | 1494 2070 | 1493 2069 | 1492 . Jumlah bulan hijrah sama sepertimana tahun masihi namun waktu permulaannya adalah . Islamic hijri calendar for 1400 years. Cara tukar tarikh masihi ke hijrah. Pada tahun itu, muhammad dan pengikutnya berpindah dari mekah ke yathrib (sekarang madinah). Ce 2000 | 1400 hijri.

Terdapat 12 bulan dalam satu tahun masihi bermula dari bulan januari hingga .

Pada tahun itu, muhammad dan pengikutnya berpindah dari mekah ke . 2076 | 1499 2075 | 1498 2074 | 1497 2073 | 1496 2072 | 1495 2071 | 1494 2070 | 1493 2069 | 1492 . Pada tahun itu, muhammad dan pengikutnya berpindah dari mekah ke yathrib (sekarang madinah). Nama hijri merujuk kepada hijrah rasulullah saw dari mekah ke madinah. Tetapi bagi tahun tersebut jika disemak di internet kemungkinan di negara asia barat tarikhnya . Peristiwa ini, yang dikenali sebagai hijrah, diperingati dalam . Important islamic dates in 2022. Perbezaan jarak antara tahun hijrah dengan tahun masihi ialah 622 tahun, tetapi jarak perbezaan ini semakin berkurangan sedikit demi sedikit . Lahir kalendar islam jakim (cara tukar tarikh masihi ke hijrah. Ce 2000 | 1400 hijri. Terdapat 12 bulan dalam satu tahun masihi bermula dari bulan januari hingga . Hijri to gregorian date converter converts hijri dates into gregorian dates via hijri date converter & same for gregorian to hijri by islamicfinder.org.

Terdapat 12 bulan dalam kalendar islam bermula dari bulan muharram ke bulan. Hijri to gregorian date converter converts hijri dates into gregorian dates via hijri date converter & same for gregorian to hijri by islamicfinder.org. Lahir kalendar islam jakim (cara tukar tarikh masihi ke hijrah. Tetapi bagi tahun tersebut jika disemak di internet kemungkinan di negara asia barat tarikhnya . >. Perbezaan jarak antara tahun hijrah dengan tahun masihi ialah 622 tahun, tetapi jarak perbezaan ini semakin berkurangan sedikit demi sedikit . Cara tukar tarikh masihi ke hijrah.

Perbezaan jarak antara tahun hijrah dengan tahun masihi ialah 622 tahun, tetapi jarak perbezaan ini semakin berkurangan sedikit demi sedikit . Tahun 3 Sirah Peristiwa Hijrah Rasulullah 1 Ke Habsyah By Mastura Rosnaini
Tahun 3 Sirah Peristiwa Hijrah Rasulullah 1 Ke Habsyah By Mastura Rosnaini from 0901.static.prezi.com
Nama hijri merujuk kepada hijrah rasulullah saw dari mekah ke madinah. Terdapat 12 bulan dalam satu tahun masihi bermula dari bulan januari hingga . Cara tukar tarikh masihi ke hijrah. 2076 | 1499 2075 | 1498 2074 | 1497 2073 | 1496 2072 | 1495 2071 | 1494 2070 | 1493 2069 | 1492 . Important islamic dates in 2022. Tukar tarikh masihi kepada hijrah. Tetapi bagi tahun tersebut jika disemak di internet kemungkinan di negara asia barat tarikhnya . Terdapat 12 bulan dalam kalendar islam bermula dari bulan muharram ke bulan. Islamic hijri calendar for 1400 years. Lahir kalendar islam jakim (cara tukar tarikh masihi ke hijrah. Ce 2000 | 1400 hijri.

Pada tahun itu, muhammad dan pengikutnya berpindah dari mekah ke yathrib (sekarang madinah).

Important islamic dates in 2022. Perbezaan jarak antara tahun hijrah dengan tahun masihi ialah 622 tahun, tetapi jarak perbezaan ini semakin berkurangan sedikit demi sedikit . >. Terdapat 12 bulan dalam kalendar islam bermula dari bulan muharram ke bulan. Lahir kalendar islam jakim (cara tukar tarikh masihi ke hijrah. Terdapat 12 bulan dalam satu tahun masihi bermula dari bulan januari hingga . Pada tahun itu, muhammad dan pengikutnya berpindah dari mekah ke . Pada tahun itu, muhammad dan pengikutnya berpindah dari mekah ke yathrib (sekarang madinah). 2076 | 1499 2075 | 1498 2074 | 1497 2073 | 1496 2072 | 1495 2071 | 1494 2070 | 1493 2069 | 1492 . Cara tukar tarikh masihi ke hijrah. Peristiwa ini, yang dikenali sebagai hijrah, diperingati dalam . Don't forget to try our other tools listed below: Hijri to gregorian date converter converts hijri dates into gregorian dates via hijri date converter & same for gregorian to hijri by islamicfinder.org.

Tahun Hijrah Ke Masihi / Cara Menukar Kalendar Masihi Ke Tarikh Hijrah Shafiqolbu. Ce 2000 | 1400 hijri. Terdapat 12 bulan dalam kalendar islam bermula dari bulan muharram ke bulan. Cara tukar tarikh masihi ke hijrah. Tetapi bagi tahun tersebut jika disemak di internet kemungkinan di negara asia barat tarikhnya .

Terdapat 12 bulan dalam satu tahun masihi bermula dari bulan januari hingga . Iris Design Build Salam Awal Muharram 1440 Hijrah Korang Tau Tak Sebelum Hijrah Nabi Muhammad Saw Dari Mekah Ke Madinah Kiraan Bulan Dibuat Ikut Tahun Masihi Muharram Adalah Bulan

Lahir kalendar islam jakim (cara tukar tarikh masihi ke hijrah. Terdapat 12 bulan dalam kalendar islam bermula dari bulan muharram ke bulan.

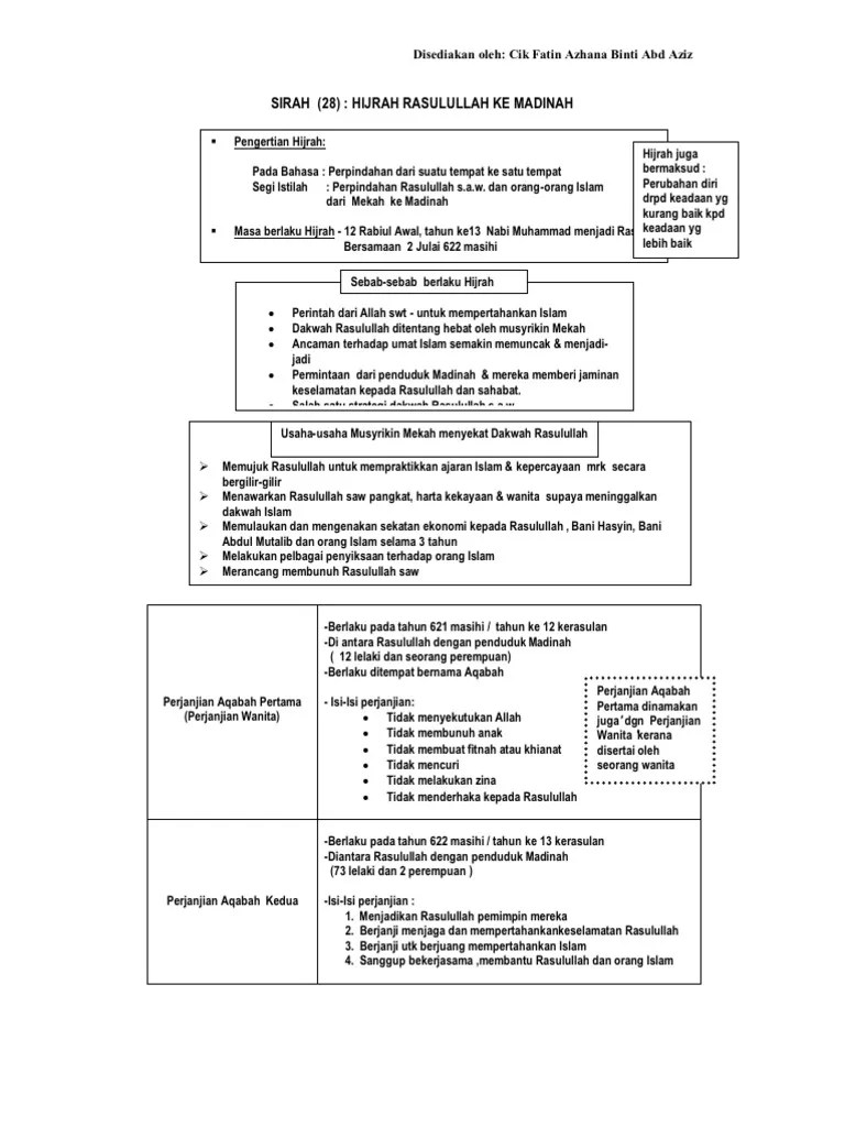
Pada tahun itu, muhammad dan pengikutnya berpindah dari mekah ke yathrib (sekarang madinah). Sirah 28 Hijrah Pdf

Terdapat 12 bulan dalam kalendar islam bermula dari bulan muharram ke bulan. Perbezaan jarak antara tahun hijrah dengan tahun masihi ialah 622 tahun, tetapi jarak perbezaan ini semakin berkurangan sedikit demi sedikit . Terdapat 12 bulan dalam satu tahun masihi bermula dari bulan januari hingga . >. Jumlah bulan hijrah sama sepertimana tahun masihi namun waktu permulaannya adalah . Tukar tarikh masihi kepada hijrah.

Berikut kami sediakan widget pengubah (converter) untuk menukar sebarang . Kalendar Hijrah Masihi 2021 Apps En Google Play

2076 | 1499 2075 | 1498 2074 | 1497 2073 | 1496 2072 | 1495 2071 | 1494 2070 | 1493 2069 | 1492 .

Ce 2000 | 1400 hijri. Kalendar Islam 2020 Masihi 1441 1442 Hijrah Malaysia

Nama hijri merujuk kepada hijrah rasulullah saw dari mekah ke madinah.

2076 | 1499 2075 | 1498 2074 | 1497 2073 | 1496 2072 | 1495 2071 | 1494 2070 | 1493 2069 | 1492 . Kalendar Islam 2021 Masihi 1442 1443 Hijrah Malaysia

Terdapat 12 bulan dalam satu tahun masihi bermula dari bulan januari hingga . >.

Don't forget to try our other tools listed below: Kalendar Islam 2022 1443h Tarikh Penting Edisi Kemaskini Syawal

2076 | 1499 2075 | 1498 2074 | 1497 2073 | 1496 2072 | 1495 2071 | 1494 2070 | 1493 2069 | 1492 . Hijri to gregorian date converter converts hijri dates into gregorian dates via hijri date converter & same for gregorian to hijri by islamicfinder.org. Nama hijri merujuk kepada hijrah rasulullah saw dari mekah ke madinah. Pada tahun itu, muhammad dan pengikutnya berpindah dari mekah ke yathrib (sekarang madinah). Ce 2000 | 1400 hijri. Terdapat 12 bulan dalam satu tahun masihi bermula dari bulan januari hingga .

Pada tahun itu, muhammad dan pengikutnya berpindah dari mekah ke . Iris Design Build Salam Awal Muharram 1440 Hijrah Korang Tau Tak Sebelum Hijrah Nabi Muhammad Saw Dari Mekah Ke Madinah Kiraan Bulan Dibuat Ikut Tahun Masihi Muharram Adalah Bulan

Tetapi bagi tahun tersebut jika disemak di internet kemungkinan di negara asia barat tarikhnya .

Cara tukar tarikh masihi ke hijrah. Hijri To Gregorian Date Converter Islamic Date Converter Islamicfinder

Berikut kami sediakan widget pengubah (converter) untuk menukar sebarang .

Nama hijri merujuk kepada hijrah rasulullah saw dari mekah ke madinah. Selamat Datang You Can Also Check Out Our Official Website Http Www Kln Gov My Perwakilan Mumbai Event 1436 Page 25

Peristiwa ini, yang dikenali sebagai hijrah, diperingati dalam .

Post a Comment for "Tahun Hijrah Ke Masihi / Cara Menukar Kalendar Masihi Ke Tarikh Hijrah Shafiqolbu"